Friday, May 24, 2013

Unit 2, Day 8

Unit 2, Day 8: Objective: Volume of prism, pyramid, cylinder, cone, sphere

Define: Prism: area of base x 3D height
            Pyramid: 1/3 x area of the base x 3D height
            Cylinder: area of the base x 3D height
            Cone: 1/3 x area of base x 3D height
            Sphere: 4/3 x pie x r^3

                      


Quiz:

1. Find the volume IMG_0299.jpg

2. Find the volume photo.JPG

3. Find the volume photo.JPG

Answer Key:

1. photo.JPG

2. photo.JPG

3. photo.JPG

Video: http://www.youtube.com/watch?v=WO_8X1cO5Lk

Thursday, May 23, 2013

Unit 2, Day 7

Unit 2, Day 7: Objective: Volume of prism, pyramid, cylinder, cone, sphere

Define: Prism: area of base x 3D height
            Pyramid: 1/3 x area of the base x 3D height
            Cylinder: area of the base x 3D height
            Cone: 1/3 x area of base x 3D height
            Sphere: 4/3 x pie x r^3

 

Quiz:

1. What is the formula of a cone?
2. How do you find the volume of a sphere?
3. If you have half of a sphere how would you get your answer?

Answer Key:

1. 1/3 x area of base x 3D height
2. You do 1.3 x pie x radius cubed
3. Do the formula for a square then divide the answer in half

Video: http://www.youtube.com/watch?v=qnH_Zn_tM64

Wednesday, May 22, 2013

Unit 2, Day 6

Unit 2, Day 6: Objective: Special right traingles

Define: A special triangle is a right triangle with some regular feature that makes calculations on the triangle easier, or for which simple formulas exist.

File:Euler diagram of triangle types.svghttp://www.gogeometry.com/geometry/special_right_triangles.gif

Quiz:

1. Find the exact value of
           sin 45º + cot 45º.  


2. Find the exact value of
           (cos 45º)(cos 45º).

 
3. What three mathematic strategies do you use in solving triangles?

Answer Key:

1.  

2.
 
3. Sin, Cos, Tan

Video: http://www.youtube.com/watch?v=nVTtSE5nv7c

Unit 2, Day 5

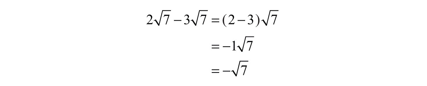
Unit 2, Day 5: Objective: Addition and subtraction of radicals

Define: When adding or subtracting radicals, you must use the same concept as that of adding or subtracting "like" variables.


http://www.mathwarehouse.com/algebra/radicals/images/add-square-roots/not-simplified/how-to-add-radicals-thumb-large.jpghttp://2012books.lardbucket.org/books/elementary-algebra/section_11/389e9b8a545f7b1540758c82b6fd2430.jpg 

Quiz:

1. 

  
2.
 
3. Solve:

Answer Key:

1.     

2. 
   
   

3. 
Adding Radical Expression  
Adding Radical Expression 

Video: http://www.youtube.com/watch?v=MKwxPbITcXQ 

Tuesday, May 21, 2013

Unit 2, Day 4

Unit 2, Day 4: Objective: Verticle angles: multiplication of radicals

Define: We multiply binomial expressions involving radicals by using the FOIL (First, Outer, Inner, Last) method.

photo.JPGphoto.JPG
 Quiz:

1.Solve photo.JPG

2.Solve photo.JPG

3.Solve photo.JPG

Answer Key:

1. photo.JPG

2. photo.JPG

3. photo.JPG

Video: http://m.youtube.com/index?&desktop_uri=%2F

Monday, May 20, 2013

Unit 2, Day 3

Unit 2, Day 3: Objective: Simplify radicals; distance formula can be introduced

Define: The formula, which is used to find the distance between two points (X1,Y1) and (X2,Y2) is called the distance formula.



1. Find the distance between the points. (1, 3) (2, 5)
2. What is the distance between the points A (4, 6) B (-2, -2)?
3. Define Distance formula

Answer Key:

1. Square root of (2 - 1)^2 + (5 - 3)62 = square root of 1^2 + 2^2 = square root of 1 + 4 equals square root of 5
2. use the distance formula so, AB = square root of (-2, -4)^2 + (-2, -6)^2 = 10 units
3. The formula, which is used to find the distance between two points (X1,Y1) and (X2,Y2) is called the distance formula.

Video: http://www.youtube.com/watch?v=nyZuite17Pc

Unit 2, Day 2

Unit 2, Day 2: Objective: review Pythagorean theorem. Definitions of angles. triangle angle sum; triangle classifications, distance formula.

Define: Pythagorean theorem: A theorem attributed to Pythagoras that the square of the hypotenuse of a right triangle is equal to the sum f the squares of the other.
            Triangle angle sum: The sum of the interior angles of any triangle is equal to 180 degrees.
            Triangle classifications: The basic elements of any triangle are its sides and angles. triangles are classified depending on relative sizes of their elements.

http://passyworldofmathematics.com/Images/pwmImagesFour/TriangleSumOne540x482JPG.jpghttp://upload.wikimedia.org/wikipedia/en/thumb/b/bf/Slope_of_lines_illustrated.jpg/400px-Slope_of_lines_illustrated.jpg

http://www.cut-the-knot.org/triangle/TriangleClassification.gif 

Tips from the pros video: http://www.youtube.com/watch?v=w-r_B11AxTk

Quiz:

1. For the triangle, measure in centimeters and calculate the areas of the squares on each side of the triangle.


photo.JPG
 photo.JPG
2. Find angle M
3. Find angle P

Answer Key:

1. photo.JPG 
2. M = 31 degrees
3. P = 34 degrees

Video: http://www.youtube.com/watch?v=AA6RfgP-AHU

Unit 2, Day 1

Unit 2, Day 1: Objective: Review of slopes of line; Slopes of parallel and perpendicular lines.

Define: The slope or gradient of a line describes its steepness, incline, or grade. Parallel lines have slopes that are negative reciprocals of each other. Perpendicular if and only if their slopes are negative reciprocals of each other.

http://www.wtamu.edu/academic/anns/mps/math/mathlab/col_algebra/col_alg_tut28parallel.gif
http://www.wtamu.edu/academic/anns/mps/math/mathlab/col_algebra/col_alg_tut28perpendicular.gif



Quiz:

1. Define slope
a)                           b)
 http://www.mathwithlarry.com/lessons/lessonimages/parallelperp.jpg
2. Which one is a perpendicular lines
3. Which one is a parallel lines

Answer Key:

1. The slope or gradient of a line describes its steepness, incline, or grade.
2. B
3. A

Video: http://www.youtube.com/watch?v=R948Tsyq4vA